A D.C. doctor is facing a lawsuit after allegedly inoculating two children with the experimental COVID-19 jab without their mother’s consent.
NaTonya McNeil reportedly took her two older children, ages 15 and 17, to a youth medical clinic operated by Georgetown Hospital for their annual physical exams.
The lawsuit alleges that Janine A. Rethy, M.D., M.P.H. inoculated the teenagers with the COVID-19 shots against their objections and without their mother’s knowledge.
Rethy allegedly told the teenagers the COVID-19 shots were required for school.
Trending: Check Out My New Site, NoahReport!
Children’s Health Defense is funding the lawsuit.
Mother Sues D.C. Doctor Who Gave Kids COVID Vaccines Without Consent@ChildrensHD is funding a lawsuit by a D.C. mother — alleging a doctor vaccinated two of her children for C19 after falsely telling the teens the shots were required for school.https://t.co/QvbZc84hLc
— The Vigilant Fox 🦊 (@VigilantFox) March 7, 2023
“CHD couldn’t just sit still and not allow this wrong to go unpunished and not bring this to the public’s attention,” said Children’s Health Defense President & General Counsel Mary Holland.
“CHD couldn’t just sit still and not allow this wrong to go unpunished and not bring this to the public’s attention.” — @maryhollandnyc, CHD president + general counsel #TheDefenderhttps://t.co/ro8ilZZxx6
— Children’s Health Defense (@ChildrensHD) March 6, 2023
The Defender had the exclusive report:
In order to attempt to obtain the children’s consent — which they are not legally able to provide without a parent or guardian — the doctor falsely informed the children the COVID-19 vaccine was mandatory for school attendance and told them they could not lawfully decline it if they wanted to attend school.
The suit, filed by D.C. Attorney Matthew Hardin, seeks damages for false imprisonment, battery and fraud.
Children’s Health Defense (CHD) is financing the lawsuit because, according to CHD President and General Counsel Mary Holland, “CHD couldn’t just sit still and not allow this wrong to go unpunished and not bring this to the public’s attention.”
In an exclusive conversation with The Defender, McNeil explained why she is suing the the doctor:
“I just feel like people shouldn’t be able to do whatever they want to do to other people and especially not to children. As a mother, I feel like, ‘You all just took all my rights away from me to do what you wanted to do to my kids.’
“I do want justice to be done in this case. I feel like something needs to be done. This can’t just continue to happen.”
The complaint quoted Rethy’s statements that clearly indicate an agenda to inoculate all children against COVID-19.
There’s no evidence whatsoever COVID-19 is a threat to healthy children.
The teenagers have a higher risk of experiencing adverse reactions from the experimental shot than becoming severely ill due to COVID-19.
Nevertheless, the medical establishment continues to feverishly advocate healthy children receive the experimental shot.
The complaint shared these quotes:
“Our goal is to increase vaccination rates in children here in D.C. . . . For more than 30 years our role has been to be in the community to help address the problem of health disparities, bringing families care where they are.
“For this particular effort, we are glad to be partnering with DC Health to provide both regular childhood vaccines and COVID-19 vaccines to all children.”
Daily Clout also reported on the lawsuit:
In addition to her role as director of the mobile clinic, Rethy is chief of MedStar Georgetown University Hospital’s Division of Community Pediatrics and assistant professor of pediatrics at Georgetown University School of Medicine.
McNeil said that when she took her older children to the clinic, she stayed outside the examination room to care for her infant. As soon as the children entered the doctor’s office, she called her daughter’s cellphone to let Rethy know she was just outside the door if the doctor needed to consult her for anything.
According to McNeil, the doctor did not ask or inform her about any vaccinations, and did not ask her to sign anything. At the end of the physical, Rethy came out to talk to her.
McNeil said the doctor explained her son’s asthma treatment plan, but that’s all they discussed.
As they were heading home, McNeil said she was shocked when her daughter complained that her arm hurt “pretty bad.” When McNeil asked her why it hurt, her daughter said she was given the COVID-19 shot, even though she told the doctor she didn’t want it.
Children’s Health Defense shared the full complaint filed in the Superior Court of the District of Columbia:











Join the conversation!
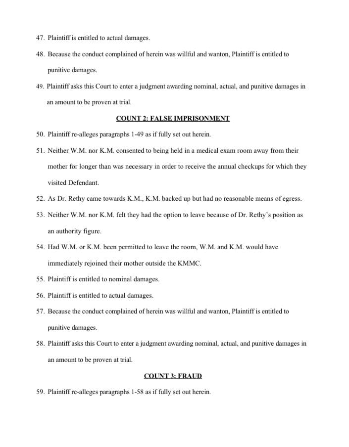
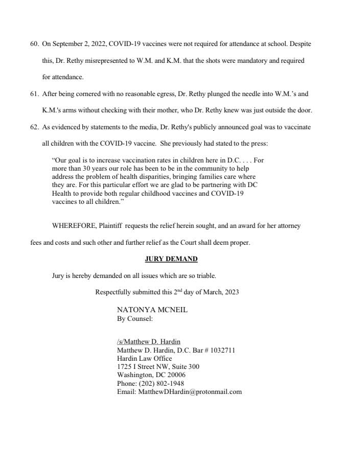
Please share your thoughts about this article below. We value your opinions, and would love to see you add to the discussion!